Influence of drugs with hyaluronidase activity on the survival of animals with a purulent-inflammatory process in the abdominal organs
- Authors: Kukushkin G.V.1, Zhuravleva M.V.2,3, Yurov D.E.1
-
Affiliations:
- Pirogov Russian National Research Medical University
- I.M. Sechenov First Moscow State Medical University (Sechenov University)
- Scientific Centre for Expert Evaluation of Medicinal Products
- Issue: Vol 29, No 2 (2023)
- Pages: 99-105
- Section: Original Research Articles
- Submitted: 12.02.2023
- Accepted: 17.03.2023
- Published: 28.04.2023
- URL: https://medjrf.com/0869-2106/article/view/225850
- DOI: https://doi.org/10.17816/medjrf225850
- ID: 225850
Cite item
Abstract
BACKGROUND: The optimization of the pharmacokinetics of antibiotics is an important aspect in improving the effectiveness of therapy for intra-abdominal infections. Thus, studying the survival of experimental animals with a simulated purulent-inflammatory process in abdominal organs using the combined use of antibacterial agents with endolymphatic agents is worthwhile.
AIMS: To examine the effect of the co-administration of cefotaxime and hyaluronidase or bovgyaluronidase azoximer on the survival of mice with a purulent-inflammatory process of the abdominal organs.
MATERIALS AND METHODS: The purulent-inflammatory process of the abdominal organs, which was simulated by the intraperitoneal administration of a lethal dose of Staphylococcus aureus microbial suspension to mice, was evaluated. Four study groups were formed, with 28 animals each. Group 1 did not receive treatment, group 2 was administered with cefotaxime, and groups 3 and 4 received antibiotics after preliminary administration of hyaluronidase or bovgialuronidase azoximer. For the statistical analysis of animal survival, the Kaplan–Meier multiple assessment method was used, and a univariate analysis using a log-rank test was employed to identify significant differences between the groups.
RESULTS: During the study, a single injection of cefotaxime alone and in combination with other studied drugs promoted the survival of some mice with a simulated purulent-inflammatory process of the abdominal organs compared with the untreated group, and at the end of the experiment (day 7), 100% of the animals died. Moreover, the best results were achieved with the initial administration of hyaluronidase or bovhyaluronidase azoximer. Thus, on day 7 of observation, >70% of the animals in groups that received both an antibiotic and hyaluronidase or bovgyaluronidase azoximer survived. No statistically significant differences were found in the effect of these drugs on animal survival in the presence of an experimental purulent-inflammatory process.
CONCLUSION: A single injection of cefotaxime alone or in combination with other studied drugs ensures the survival of some mice with a simulated purulent-inflammatory process of the abdominal cavity compared with the control group, in which 100% of the animals died by the end of the experiment (day 7). Moreover, the best results were achieved in groups initially administered with hyaluronidase or bovgialuronidase azoximer.
Full Text
BACKGROUND
Intraabdominal infections remain crucial in clinical medicine because of the high probability of fatal complications [1–3]. Antibacterial therapy optimization is significant in increasing the efficiency of their treatment [4–6]. To achieve this goal, antibacterial drugs should be administered using the lymphotropic method. It involves the injection of a low-molecular-weight hydrophilic drug, particularly a beta-lactam antibiotic, following the administration of a drug with endolymphatic conductor properties. The latter includes ensuring targeted delivery of the antibacterial drug to the lesion through the lymphatic system. In this regard, high-molecular-weight medicinal substances can be used to stimulate lymphatic drainage and maintain high concentrations in the blood plasma of drugs administered after them through the same needle throughout the day, such as hyaluronidase (HLRD) [7, 8]. Previous studies using an experimental model established that in addition to HLRD, such properties are also exhibited by the Russian drug bovhyaluronidase azoximer (BHLRD+Az), which is a conjugate of the HLRD enzyme and a high-molecular-carrier azoximer, which is considered an effective stabilizer that promotes long-term preservation of the native structure and activity of the enzyme [9].
The efficacy of lymphotropic therapy using HLRD as an endolymphatic conductor has been demonstrated in experimental studies [10, 11] and in numerous clinical cases. This treatment method is used in surgery [12–15], gynecology [16], urology [17], neurology [18], pulmonology [19], otolaryngology [20], ophthalmology [21], and other fields of medicine. The treatment efficiency in these studies was assessed using the dynamics of the disease clinical presentation and instrumental and laboratory parameters. To clarify the mechanism of the positive effect of lymphotropic therapy on the course of the intraabdominal infectious process, we conducted a study of the survival of animals with a simulated purulent inflammatory process of the abdominal organs with the combined application of HLRD and BHLRD+Az with the antibacterial drug cefotaxime (CF). We believe that the results obtained experimentally will be of interest in practical medicine.
This study aimed to investigate in experiments on mice the effect of coadministration of cefotaxime with hyaluronidase or bovhyaluronidase azoximer on the survival of animals with abdominal purulent inflammation.
METHODS
The survival rate of 112 mature male mice of the CBA (luc) line with simulated abdominal purulent inflammation was assessed following the combined use of CF and HLRD or BHLRD+Az. The mice weighed 28–30 g, were kept on a standard diet, and had no external signs of any diseases. The dose of all studied drugs was calculated based on a single dose recommended for humans, using a conversion factor [22]. A 0.9% NaCl solution was used as the solvent for the studied drugs. Abdominal purulent inflammation was modeled by intraperitoneal injection of a lethal dose of microbial suspension of S. aureus N: 25923 (J49) ATCC (NSDA, USA). LD100 was determined in a series of preliminary experiments and amounted to 109 mg/ml.
Four groups of 28 animals each were formed. Group 1 (control) received no treatment. Group 2 mice were subcutaneously injected with 0.3 ml of 0.9% NaCl in the upper third of the thigh 60 minutes after the administration of the microbial suspension, and then 3 minutes later, CF was injected through the same needle at a dose of 5.9 mg. Groups 3 and 4 mice were subcutaneously injected with HLRD at a dose of 0.26 IU and BHLRD+Az at a dose of 12 IU, respectively, in the upper third of the thigh, and then 3 min later, CF was injected through the same needle at a dose of 5.9 mg.
Statistical analysis. When analyzing the survival of experimental animals, the Kaplan–Meier method of multiplication estimates and univariate analysis using the log-rank test were used to identify significant differences between the compared groups of mice.
RESULTS
Figures 1–3 show Kaplan–Meier curves demonstrating the dynamics of animal survival in the control and experimental groups.
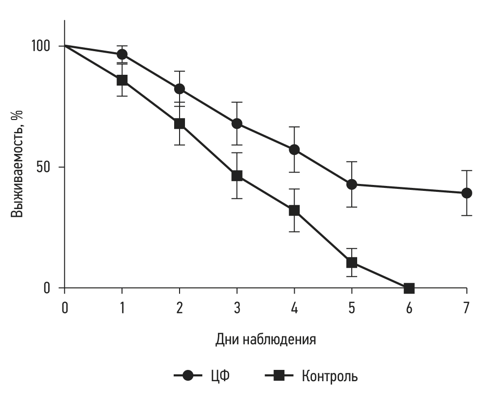
Fig. 1. Survival of mice in groups of animals with simulated abdominal purulent inflammation without treatment and those injected with cefotaxime (CF) alone.
Fig. 2. Survival of mice in groups of animals with simulated abdominal purulent inflammation injected with cefotaxime (CF) alone and combined administration with hyaluronidase (HLRD).
Fig. 3. Survival of mice in groups of animals with simulated abdominal purulent inflammation injected with cefotaxime alone (CF) and combined administration with bovhyaluronidase azoximer (BHLRD+Az).
In the group of mice that were not treated (control), all animals died by day 7 of follow-up. In group 2 (experimental), after a single injection of CF at this follow-up period, 11 of 28 mice (39%) survived. The resulting difference was statistically significant (95% CI, 1.119–2.214; p=0.0007). The survival rate of animals treated with CF compared with that of the control group increased from the first days of follow-up. Thus, on day 2, it was 82% in the experimental group (CF) and 68% in the control group. On days 3, 4, and 5, survival rates were 68% and 46%, 51% and 32%, and 43% and 10%, respectively. By day 7, no animal in the control group survived, whereas 43% of the mice that received a single dose of CF survived (Fig. 1).
To assess the effect of the studied drugs on the survival of mice with a simulated purulent inflammatory process of the abdominal organs, we compared this indicator in experimental groups of animals with combined administration of CF and HLRD or CF and BHLRD+Az and in a group of mice that received CF as a single drug. Moreover, in this context, animals with CF single administration were considered as the control group. It was revealed that both HLRD and BHLRD+Az increased the survival rate of the experimental animals.
As previously revealed by day 7 of follow-up, 11 animals (39%) survived in the group of mice that received a single injection of CF. When CF was combined with HLRD, 21 of 28 (75%) mice remained alive. The 95% CI was 0.117–0.642 (p=0.0029). Differences in the survival of animals in these study groups were noted starting from day 2 of the experiment, as this figure was 96% in the main group and 82% in the control group. On days 3 and 4, it was 93% and 68% and 93% and 57%, respectively. On days 5 and 6 of the experiment, the survival rate of animals in the group with combined administration of CF and HLRD was 86%, and in animals that received the antibiotic as a single drug, it was 43% (Fig. 2).
In the group of mice with combined administration of CF and BHLRD+Az, 20 animals (71%) survived on day 7 of the experiment, whereas in the control (monoantibiotic administration), there were 11 (39%) such animals. The data obtained were statistically significant (95% CI, 0.171–0.897; p=0.0027). Differences in the survival rate of mice in these groups were recorded starting from day 3 of follow-up. Thus, the survival rate on day 3 was 79% in the main group of animals and 68% in the control group, and it was 71% and 57% on day 4, respectively. On days 5–6, it was 71% in mice treated with CF combined with BHLRD+Az and 43% in animals that received CF alone (Fig. 3).
DISCUSSION
A single injection of CF, both as monotherapy and against the administration of the studied drugs, ensured the survival of some mice with simulated abdominal purulent inflammation compared with the control group (without treatment), where all the animals died by the end of the experiment (day 7). Moreover, the best results were achieved in animals with preliminary administration of HLRD or BHLRD+Az. Thus, on day 7 of follow-up, >70% of the animals survived in the groups of mice with combined administration of the antibiotic and HLRD or BHLRD+Az. Statistically significant differences in the effect of these two drugs on the survival of mice under conditions of an experimental purulent inflammation have not been detected.
The literature presents evidence that the combined administration of recombinant HLRD with certain drugs improves the delivery of small molecules into the blood and increases their bioavailability and maximum concentration (and reduces the time to reach it) compared with subcutaneous injection of drugs without HLRD [23]. However, the use of HLRD in lymphotropic therapy can cause allergic reactions, whereas they are very rare when using BHLRD+Az [24].
We previously established that HLRD and BHLRD+Az accelerate lymphatic drainage in the mesentery of experimental mice [25, 26]. Preliminary administration of these drugs increases the concentration of CF throughout the day in both the blood and intestinal tissues. This effect may be due to the presence of endolymphatic conductors in HLRD and BHLRD+Az (endolymphatic conductors deliver drugs to the lymphatic system and deposit them there with gradual release into the blood). This mechanism may determine the effect of increasing the survival rate of animals with abdominal purulent inflammation.
CONCLUSION
The results obtained enable the use of HLRD and BHLRD+Az for lymphotropic therapy. In this case, BHLRD+Az should be preferred, because its use is rarely accompanied by allergic reactions.
Additional Information
Funding source. This study was not supported by any external sources of funding.
Competing interests. The authors declare that they have no competing interests.
Authors' contribution: G.V. Kukushkin — idea, research design, set of the material, manuscript writing and editing; M.V. Zhuravleva — manuscript writing and editing; D.E. Yurov — set of the material, search for literary sources. All authors made a substantial contribution to the conception of the work, acquisition, analysis, interpretation of data for the work, drafting and revising the work, final approval of the version to be published and agree to be accountable for all aspects of the work.
About the authors
German V. Kukushkin
Pirogov Russian National Research Medical University
Email: germanpharm@yandex.ru
ORCID iD: 0000-0002-1661-1071
MD, Cand. Sci. (Med.), associate professor
Russian Federation, 1 Ostrovityanova street, 117997 MoscowMarina V. Zhuravleva
I.M. Sechenov First Moscow State Medical University (Sechenov University); Scientific Centre for Expert Evaluation of Medicinal Products
Email: clinpharm23@mail.ru
ORCID iD: 0000-0002-9198-8661
SPIN-code: 6267-9901
MD, Dr. Sci. (Med.), professor
Russian Federation, 1 Ostrovityanova street, 117997 Moscow; MoscowDmitry E. Yurov
Pirogov Russian National Research Medical University
Author for correspondence.
Email: dmpharm@gmail.com
ORCID iD: 0000-0003-0178-8736
SPIN-code: 6403-4087
MD, Cand. Sci. (Med.)
Russian Federation, 1 Ostrovityanova street, 117997 MoscowReferences
- Sartelli M, Coccolini F, Kluger Y, et al. WSES/GAIS/SIS-E/WSIS/AAST global clinical pathways for patients with intra-abdominal infections. World J Emerg Surg. 2021;16(1):49. doi: 10.1186/s13017-021-00387-8
- Morvan AC, Hengy B, Garrouste-Orgeas M, et al. Impact of species and antibiotic therapy of enterococcal peritonitis on 30-day mortality in critical care-an analysis of the OUTCOMEREA database. Crit Care. 2019;23(1):307. doi: 10.1186/s13054-019-2581-8
- Luo X, Li L, Xuan J, et al. Risk factors for enterococcal intra-abdominal infections and outcomes in intensive care unit patients. Surg Infect (Larchmt). 2021;22(8):845–853. doi: 10.1089/sur.2020.417
- Bassetti M, Rello J, Blasi F, et al. Systematic review of the impact of appropriate versus inappropriate initial antibiotic therapy on outcomes of patients with severe bacterial infections. Int J Antimicrob Agents. 2020;56(6):106184. doi: 10.1016/j.ijantimicag.2020.106184
- De Waele JJ, Schouten J, Beovic B, et al. Antimicrobial de-escalation as part of antimicrobial stewardship in intensive care: no simple answers to simple questions — a viewpoint of experts. Intensive Care Med. 2020;46(2):236–244. doi.org/10.1007/s00134-019-05871-z
- Gatti M, Viaggi B, Rossolini GM, et al. An evidence-based multidisciplinary approach focused at creating algorithms for targeted therapy of BSIs, cUTIs, and cIAIs caused by enterobacterales in critically ill adult patients. Infect Drug Resist. 2021;14:2461–2498. doi: 10.2147/IDR.S314241
- Wasserman RL. Overview of recombinant human hyaluronidase-facilitated subcutaneous infusion of IgG in primary immunodeficiencies. Immunotherapy. 2014;6(5):553–567. doi: 10.2217/imt.14.34
- Locke KW, Maneval DC, LaBarre MJ. ENHANZE® drug delivery technology: a novel approach to subcutaneous administration using recombinant human hyaluronidase PH20. Drug Deliv. 2019;26(1): 98–106. doi: 10.1080/10717544.2018.1551442
- Orehova JeM, Konchugova TV, Luk’janova TV, i dr. Primenenie preparata «Longidaza 3000 ME» pri zabolevanijah, soprovozhdajushhihsja patologiej soedinitel’noj tkani. Moscow; 2008. (In Russ).
- Konenkov VI, Borodin JuI, Ljubarskij MS. Limfologija. Novosibirsk: Izdatel’skij dom «Manuskript»; 2012. (In Russ).
- Levin JuM, Rodionova OM, Gurina LV, i dr. Patogeneticheskaja terapija (ustranenie anahronizmov). Novye principy i metody. Moscow: Izdatel’stvo RUDN; 2014. (In Russ).
- Vtorenko VI, Esipov AV, Musailov VA, Shishlo VK. Limfaticheskaja terapija v hirurgicheskoj praktike. SurgicaL Practice. 2014;(3):4–9. (In Russ).
- Charyshkin AL, Dementyev IN. Results regionarny limfotropny of therapy of patients sharp paraproktitis. Ul’yanovskii mediko-biologicheskii zhurnal. 2013;(3)45–53. (In Russ).
- Usubakunov UE. Effectiveness of lymph-stimulating therapy in syndrome systemic inflammatory reaction in abdominal surgery. Vestnik of KSMA named after I.K. Akhunbayev. 2015;2(2):155–158. (In Russ).
- Kraynyukov PE, Safonov OV, Kolodkin BB, Kokorin VV. Pyoinflammatory diseases brush: modern features of complex treatment. Bulletin of Pirogov National Medical & Surgical Center. 2016;11(3):48–54. (In Russ).
- Oschepkova OV, Putalova IN, Barinov SV, Sabitov SS. The way of treatment of complicated forms of inflammatory diseases of appendages of uterus by application lymphotropic introductions of antibacterial medicine. Omsk Scientific Bulletin. 2012;(1):114–119. (In Russ).
- Skripcova SA, Tverdohleb SA. Ocenka rezul’tatov lechenija skleroza shejki mochevogo puzyrja. Saratov Journal of Medical Scientific Research. 2016;12(2):232. (In Russ).
- Sviridkina LP, Batysheva TT, Kuzmina ZV, Toporova SG. Lymphotropic therapy of dorsopathy in case of disc hernia if the lumbar part of the spinal column. Vestnik Rossiiskogo gosudarstvennogo meditsinskogo universiteta. 2011;(1):36–40. (In Russ).
- Borisov IM, Shapovalova TG, Krainyukov PE. Indirect lymphotropic therapy at pneumonia. Yakut Medical Journal. 2011;(3):34–36. (In Russ).
- Krotov SY, Krotov YA, Putalova IN. Regional lymphotropic therapy for acute otitis media using low-frequency ultrasound. Russian Otorhinolaryngology. 2013;64(3):89–93. (In Russ).
- Bratko VI, Smagin AA, Khabarov DV, Demura AY. Use of lymphotropic technologies for the correction of the inflammatory process in diabetic retinopathy. Mezhdunarodnyi zhurnal ehksperimental’nogo obrazovaniya. 2013;(10-2):246–249. (In Russ).
- Volchegorskij IA, Dolgushin II, Kolesnikov OL, i dr. Jeksperimental’noe modelirovanie i laboratornaja ocenka adaptivnyh reakcij organizma. Cheljabinsk: Izd-vo Cheljabinskogo gosudarstvennogo pedagogicheskogo universiteta; 2000. 167 p. (In Russ).
- Thomas JR, Wallace MS, Yocum RC, et al. The INFUSE-Morphine study: use of recombinant human hyaluronidase (rHuPH20) to enhance the absorption of subcutaneously administered morphine in patients with advanced illness. J Pain Symptom Manage. 2009; 38(5):663–678. doi.org/10.1016/j.jpainsymman.2009.03.009
- https://grls.rosminzdrav.ru/ [Internet]. Instruktsiya po meditsinskomu primeneniyu lekarstvennogo preparata LongidazA® (Longidaza®) [cited: Feb 01, 2023]. Available from: https://grls.rosminzdrav.ru/Grls_View_v2.aspx?routingGuid=24753d71-5447-43ae-a8b7-46ae45216a0a (In Russ).
- Kukushkin GV, Zhuravleva MV, Sviridkina LP, Yurov DE. Hyaluronidase: an experimental confirmation of the properties of the endolymphatic conductor. Rossiiskii meditsinskii zhurnal (Medical Journal of the Russian Federation, Russian Journal). 2019;25(1): 40–43. (In Russ). doi: 10.18821/0869-2106-2019-25-1-40-43
- Zhuravleva MV, Kukushkin GV, Sviridkina LP, et al. Experimental study of the pharmacokinetics of cefotaxime with joint administration of drugs with hyaluronidase activity. Antibiotics and Chemotherapy. 2019;64(5-6):9–12. (In Russ). doi: 10.24411/0235-2990-2019-10024
Supplementary files





