Blood serum concentration of troponin in patients with COVID-19 of various severities
- Authors: Kovtyukh I.V.1, Gendlin G.E.2, Nikitin I.G.2, Nikitin A.E.1, Aleshenko N.L.1, Roginko O.A.1
-
Affiliations:
- Petrovsky National Research Centre of Surgery
- N.I. Pirogov Russian National Research Medical University
- Issue: Vol 27, No 6 (2021)
- Pages: 561-569
- Section: Clinical medicine
- Submitted: 21.06.2022
- Accepted: 22.06.2022
- Published: 19.07.2022
- URL: https://medjrf.com/0869-2106/article/view/108897
- DOI: https://doi.org/10.17816/0869-2106-2021-27-6-561-569
- ID: 108897
Cite item
Abstract
BACKGROUND: The search for available predictors of hospital survival and mortality rates during the COVID-19 pandemic is an urgent problem.
AIM: The study aimed to determine the role of troponin in the immediate prognosis of patients with COVID-19.
MATERIALS AND METHODS: The study included 85 patients with a new coronavirus infection upon admission, who underwent a blood test for troponin. All patients underwent an echocardiographic study according to a standard protocol, and the effect of troponin levels on nosocomial survival and mortality rates, correlation of this indicator with the left ventricular ejection fraction, degree of pulmonary hypertension, laboratory parameters, and degree of respiratory failure determined by computed tomography of the lungs and oxygen saturation indicators were analyzed. Correlation analysis with autopsy parameters was performed.
RESULTS: A high level of troponin indicated the worst prognosis of patients during hospitalization. The laboratory marker level correlated significantly with the parameters of the left ventricular ejection fraction. Its highest level was determined in patients with type 1 myocardial infarction. Troponin was not correlated with the degree of respiratory failure, as well as the state of the myocardium in the autopsy material.
CONCLUSIONS: Determining the troponin levels as a routine laboratory marker can be recommended for stratifying the risk of myocardial damage in patients with COVID-19 during hospitalization.
Full Text
АКТУАЛЬНОСТЬ
Эпидемиологическая ситуация с новой коронавирусной инфекции COVID-19 остается по-прежнему серьезной проблемой. Стратификация факторов риска и поиск предикторов неблагоприятного прогноза позволят определить диагностический алгоритм и тактику ведения пациентов. В настоящее время определены факторы, определяющие высокую госпитальную смертность и низкую выживаемость, наиболее значимыми из них являются возраст и такие сопутствующие заболевания, как сердечно-сосудистые, сахарный диабет 1 и 2 типа, хроническая болезнь почек, ожирение, а также некоторые лабораторные показатели, например, высокий уровень D-димера, N-терминального пропептида натрийуретического гормона NT-proBNP (1-6). Одним из маркеров, определяющих прогноз и тяжесть течения заболевания больных с COVID-19, с возможностью рутинного определения в повседневной практике, является тропонин. Большинство исследований показывают, что тяжесть состояния коррелирует с уровнем повышения тропонина [7, 8]. В метаанализе G. Lippi et al., проведенном в Китае с участием 341 пациента, было показано, что показатели высокочувствительного тропонина значительно выше у пациентов с тяжелой формой заболевания (SMD 25,6 нг/л; 95% доверительный интервал (ДИ) 6,8–44,5 нг/л) [7]. Надо отметить, что механизмы повышения уровня тропонина в настоящий момент времени не вполне очевидны. Основная концепция сводится к некоронарогенному генезу его повышения, а также кардиовоспалительной реакции с развитием миокардита или инфарктом миокарда 2 типа [8–12]. Другие авторы говорят об ограниченных сведениях диагностированного миокардита у больных с COVID-19 [13–15]. Однако большинство сходятся в диагностической необходимости ранней оценки уровня тропонина для определения прогноза и тактики ведения пациентов COVID-19, в том числе необходимости проведения сортировки в отделение интенсивной терапии [9, 11, 14, 16, 17].
МАТЕРИАЛЫ И МЕТОДЫ
В Российском научном центре хирургии им. академика Б.В. Петровского, являющимся базой кафедры госпитальной терапии № 2 ФГАОУ ВО РНИМУ им. Н.И. Пирогова Минздрава России, в период ее работы для оказания помощи пациентам с COVID-19, нами было обследовано 85 больных, которым проводилось исследование уровня высокочувствительного тропонина I (Тр-hs).
Критерии включения в исследование: пациенты с подтвержденным заболеванием COVID-19 методом полимеразной цепной реакции (ПЦР) мазка ротовой полости и носоглотки в возрастной группе 18 лет и старше в сочетании с патогномоничной картиной компьютерной томографии (КТ) легких и тяжелым течением заболевания.
Критерии исключения: недоказанный инфекционный процесс COVID-19.
Перед началом исследования получено одобрение локального этического комитета РНИМУ им. Н.И. Пирогова (протокол № 202 от 23.11.2020).
Этические принципы в соответствии с Хельсинкской декларации Всемирной медицинской ассоциации на проведение исследования соблюдены и оформлены в виде письменного информированного согласия пациентов.
Характеристика пациентов
Возраст пациентов составил в среднем 75,0 лет (33,0–92,0), от 63,0 до 82,0 лет, умерших (n=49) — в среднем 71,0 год (73,0–85,0), от 54,0 до 92,0 лет. В исследовании участвовали 32 женщины, 53 мужчины. Возраст женщин составил в среднем 80,0 лет (52,0–92,0), от 70,0 до 84,0 лет, мужчин — 73,0 года (33,0–92,0), от 61,0 до 81,0 лет. Женщины оказались статистически старше, p=0,025.
Сопутствующие заболевания в группе представлены следующими нозологическими единицами. Доказанный ранее онкологический процесс выявлен у 10 пациентов, перенесенный ранее инфаркт миокарда — у 18 человек, Сахарный диабет 1 и 2 типа — 28 случаев, артериальная гипертензия — у 68 пациентов, фибрилляция предсердий различных типов — у 23 больных, хроническая сердечная недостаточность — у 12 человек, ишемическая болезнь сердца в виде стабильной стенокардии напряжения различных функциональных классов — у 12 человек. Большинство пациентов имели коморбидный статус с сочетанием представленных выше заболеваний.
Всего за период госпитализации умерли 49 пациентов, средний койко-день составил 15,5. На всех умерших пациентов имеются данные анализа аутопсийного материала.
Протокол исследования включал исследование стандартных лабораторных показателей, в том числе количественное определение Тр-hs, диагностику COVID-19 методом ПЦР, КТ отдела грудной клетки (ОГК), пульсиоксиметрию, а также эхокардиографическое (ЭхоКГ) исследование в положении лежа на левом боку в парастернальной и апикальной позициях.
Уровень Тр-hs определялся на анализаторе DXI (Beckman Coulter, США), единицы измерения — мкг/л, референсные значения — менее 40.
ЭхоКГ исследование проводилось на аппарате Philips Affiniti-70 (Philips, Нидерланды).
Статистические методы
Использовались непараметрические методы статистического анализа. Для определения различий двух независимых величин применяли критерий Манна–Уитни, при множественном сравнении — критерий Краскела–Уоллиса. При множественных сравнениях использовали поправку Бонферрони. Для сравнения долей использовался критерий хи-квадрат (χ2) Пирсона, при малых величинах применяли точный критерий Фишера. Данные представлены в виде медианы и интерквартильного размаха (Ме [25-й процентиль; 75-й процентиль]) или абсолютных и относительных частот. Для изучения выживаемости использовали метод Каплана–Мейера с построением кривых выживаемости, статистическую значимость выживаемости 3 групп и более определяли с помощью критерия χ2, при сравнении 2 групп — логранговый критерий и критерий Гехана–Вилкоксона. При определении влияния каждого показателя на кумулятивную выживаемость больных его разделяли на децили, после чего определяли отрезные точки. Для выявления дифференциальной границы между величинами исследуемых показателей в независимых выборках проводили ROC-анализ с определением площади под ROC-кривой. Отрезной точкой считали величину, при которой количество ложноотрицательных и ложноположительных результатов оказывалось минимальным. Различия считали статистически значимыми при p <0,05.
Цель исследования — оценить значимость Тр-hs как независимого маркера, определяющего ближайшую смертность и выживаемость пациентов COVID-19 в период их госпитализации в инфекционный стационар.
РЕЗУЛЬТАТЫ
За анализируемый период Тр-hs был исследован у 85 человек. Несмотря на умеренную статическую разницу в возрасте мужчин и женщин (p=0,025), влияния возраста на госпитальную выживаемость и смертность выявлено не было (p=0,33).
Оценивая влияние Тр-hs на госпитальную выживаемость и смертность, весь ряд его значений мы разделили на 4 группы по уровню концентрации: 1-я группа — до 100 мкг/л (n = 38), 2-я группа — от 100 до 999 мкг/л (n=28), 3-я группа — от 1000 до 9999 мкг/л (n=14) и 4-я группа — более 10 000 мкг/л (n=5). Кривые выживаемости в 3-й и 4-й группах вели себя идентично, в связи с чем были объединены в общую группу. Госпитальная выживаемость в группе пациентов с уровнем Тр-hs менее 100 мкг/л оказалась наилучшей (p=0,00001) (рис. 1).
Рис. 1. Влияние концентрации высокочувствительного тропонина I на госпитальную выживаемость пациентов COVID-19. / Fig. 1. Effect of high-sensitivity troponin I concentration on the hospital survival rate of patients with COVID-19.
Наиболее высокий уровень госпитальной смертности оказался в группе пациентов с уровнем Тр-hs более 1000 мкг/л (табл. 1).
Таблица 1. Госпитальная смертность в соответствии с уровнем высокочувствительного тропонина I (Тр-hs) / Table 1. Nosocomial mortality according to the high-sensitivity troponin I level
Концентрация Тр-hs | Выписанные пациенты, n (%) | Умершие пациенты, n (%) | Всего пациентов |
<100 мкг/л | 26 (68,42) | 12 (31,58%) | 38 |
10–999 мкг/л | 9 (32,14) | 19 (67,66%) | 28 |
>1000 мкг/л | 1 (5,26) | 18 (94,74%) | 19 |
Число пациентов | 36 | 49 | 85 |
Примечание: р <0,0001.
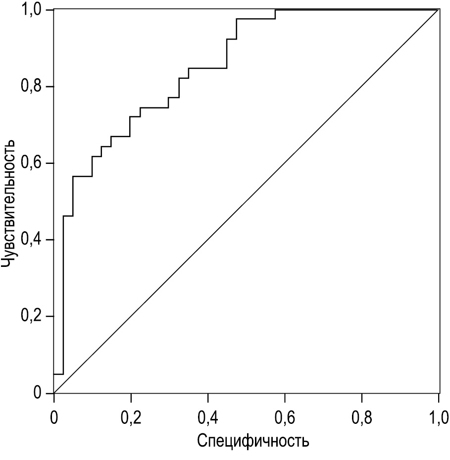
Проведенный ROC-анализ также продемонстрировал высокую прогностическую взаимосвязь между уровнем Тр-hs и летальным исходом у пациентов с COVID-19 — площадь под ROC-кривой составила 0,849±0,042 с 95% ДИ 0,766–0,993 с высокой степенью значимости (p <0,001). Пороговое значение Тр-hs составило 165,13 мкг/л, чувствительность и специфичность метода 74,4% и 77,5% соответственно (рис. 2).
Рис. 2. ROC-кривые взаимосвязи прогноза летального исхода и уровня высокочувствительного тропонина I. / Fig. 2. ROC curves of the relationship between the prognosis of a lethal outcome and the level of high-sensitivity troponin I.
Уровень Тр-hs определенно ассоциировался с выраженностью снижения фракции выброса левого желудочка (ФВ ЛЖ), выявлена средней силы корреляция данных параметров (r=–0,51, p=0,000002) (табл. 2).
Таблица 2. Концентрация высокочувствительного тропонина I (Тр-hs) в группах пациентов с различной фракцией выброса левого желудочка (ФВ ЛЖ) / Table 2. Concentration of the high-sensitivity troponin I in patients with different left ventricular ejection fractions
Концентрация Тр-hs, мкг/л | Группы в соответствии с ФВ ЛЖ, % | Пациенты |
2200 (613,9–11 815,2) | 1-я — 36,5 (28,0–38,0) | 14 |
88,9 (58,0–827,4) | 2-я — 50,0 (45,0–50,0) | 38 |
48,9 (25,7–319,5) | 3-я — 57,0 (56,0–59,0) | 27 |
Примечание: р <0,0001; ФВ ЛЖ — фракция выброса левого желудочка.
Однако наиболее высокий уровень Тр-hs оказался у пациентов, как выживших, так и умерших, с развившимся инфарктом миокарда (ИМ) (p <0,0001). Медиана показателя у пациентов с ИМ составила 15487,9 (3253,9–37694,4), у пациентов без ИМ — 93,9 мкг/л (35,9–335,2), p <0,0001. При повторном исследовании выживаемости, после исключения из анализа выживших и умерших больных с ИМ, расхождение кривых дожития осталось прежним (р=0,008).
Кроме того, выявлена статистически значимая, но слабая корреляция уровня Тр-hs с возрастом (r=0,38, p=0,0003). Такие гемодинамические показатели, как уровень артериального давления (АД) и частоты сердечных сокращений (ЧСС), не коррелировали с концентрацией этого показателя. При оценке взаимосвязи Тр-hs со степенью дыхательной недостаточности выявлена слабая корреляция с частотой дыхательных движений (r=0,35, p=0,001). Также выявлена слабая корреляции с величиной легочной гипертензии, выявленной на ультразвуковой доплерографии (r=0,48, p <0,0001). Корреляции уровня Тр-hs с другими параметрами, характеризующими степень тяжести дыхательной недостаточности, такими как показатели пульсоксиметрии (SpO2) на атмосферном воздухе и при оксигенотерапии, степени тяжести поражения легочной ткани по данным КТ ОГК при поступлении, в динамике и на заключительном этапе лечения, выявлено не было (табл. 3).
Таблица 3. Коэффициенты корреляции высокочувствительного тропонина I (Тр-hs) с основными показателями гемодинамики и выраженности дыхательной недостаточности / Table 3. Correlation coefficients of high-sensitivity troponin I with the main indicators of hemodynamics and severity of respiratory failure
Показатель | n | r | p |
Тр-hs и возраст | 85 | 0,38 | 0,0003 |
Тр-hs и АД систолическое | 85 | 0,1 | 0,34 |
Тр-hs и АД диастолическое | 85 | –0,09 | 0,40 |
Тр-hs и ЧСС | 85 | 0,14 | 0,18 |
Тр-hs и ЧДД | 85 | 0,35 | 0,001 |
Тр-hs и SpO2 на атмосферном воздухе | 85 | –0,18 | 0,11 |
Тр-hs и SpO2 на кислороде | 85 | –0,23 | 0,051 |
Тр-hs и КТ при поступлении | 78 | 0,1 | 0,36 |
Тр-hs и КТ в динамике | 38 | –0,09 | 0,58 |
Тр-hs и КТ заключительное | 59 | 0,14 | 0,31 |
Тр-hs и легочная гипертензия | 85 | 0,48 | <0,0001 |
Примечание: SpО2 — уровень насыщения кислородом крови; АД — артериальное давление; КТ — компьютерная томография; ЧСС — частота сердечных сокращений.
Тяжесть состояния больных практически определяла виды лечения вспомогательной вентиляции: наиболее тяжелые пациенты с клинической картиной острого респираторного дистресс-синдрома нуждались в искусственной вентиляции легких, при менее выраженной дыхательной недостаточности ведение осуществлялось неинвазивной масочной вентиляцией (p <0,0003).
При оценке корреляции концентрации Тр-hs с лабораторными показателями, проведен анализ при поступлении пациентов, в динамике на фоне проводимой терапии и при выписке пациента или в случае его летального исхода. Выявлена слабая связь между Тр-hs при поступлении (n=85) и количеством эритроцитов (r=0,26, p=0,017), гемоглобином (r=–0,029, p=0,0075), гематокритом (r=–0,24, p=0,025), сегментоядерных лейкоцитов (r=0,21, p=0,049), лимфоцитов (r=0,29, p=0,07), СОЭ (r=0,22, p=0,045), мочевиной (r=0,24, p=0,0031), АЛТ (r=0,24, p=0,026), уровнем D-димера (r=0,24, p=0,033). Не выявлена корреляция со множеством других параметров, таких как уровень тромбоцитов, креатинина, электролитными нарушениями, показателями гемостаза, показателями кислотно-щелочного состояния (КЩС). При повторном анализе в динамике (n=71) сохранялась корреляция с уровнем эритроцитов (r=0,26, p=0,03), сегментоядерными лейкоцитами (r=0,33, p=0,046), лимфоцитами (r=0,32, p=0,007), со скоростью клубочковой фильтрацией, определяемой по формуле MDRD (r=–0,35, p=0,024). При заключительном исследовании лабораторных параметров (n=36), сохраняется слабой или умеренной степени корреляции связь с уровнем лейкоцитов (r=0,42, p=0,0003), сегментоядерными лейкоцитами (r=0,33, p=0,003), лимфоцитами (r=0,5, p <0,0001), СОЭ (r=0,35, p=0,0014), уровнем СКФ (r=–0,63, p <0,0001), D-димером (r=0,41, p=0,0011). Выявляется также слабой или умеренной степени корреляция с другими лабораторными параметрами, такими как С-реактивный белок (r=0,6, p <0,0001), МНО (r=0,32, p=0,014), протромбиновым индексом (r=–0,33, p=0,013), фибриногеном (r=0,31, p=0,04), АЧТВ (r=0,39, p=0,003), КФК общая (r=0,43, p=0,0002), КФК МБ фракция (r=0,47, p=0,0004). Корреляции с параметрами КЩС по-прежнему не выявляется.
Из 85 пациентов умерло 49. По данным аутопсийного материала проведен анализ состояния сердца, из показателей, поддающихся расчету (масса сердца и объем левого желудочка, который вычислялся как произведение длины, высоты и ширины органа), ни один из них не коррелировал с Тр-hs (табл. 4). Из 49 пациентов у 8 (21,6%) при паталогоанатомическом исследовании выявлено развитие ИМ. Данных о наличии миокардита на аутопсии не получено.
Таблица 4. Коэффициенты корреляции высокочувствительного тропонина I и данных аутопсийного материала / Table 4. Correlation coefficients of high-sensitivity troponin I and autopsy data
Показатель | n | r | p |
С массой сердца | 49 | –0,06 | 0,7 |
С объемом левого желудочка (длина × высота × ширина) | 49 | 0,22 | 0,15 |
С толщиной стенок левого желудочка | 49 | 0,13 | 0,41 |
ОБСУЖДЕНИЕ
Таким образом, в представленных нами материалах продемонстрирована высокая значимость Тр-hs как предиктора госпитальной летальности. Большинство авторов также указывают на повышение данного маркера при тяжелом течении COVID-19. В настоящее время помимо острого коронарного синдрома выявлены некоронарогенные заболевания, сопровождающиеся повышением уровня Тр-hs, такими как острое расслоение аорты, хроническая болезнь почек, травма головного мозга, инсульт, сепсис и другие [18–20]. Ряд исследований рассматривает повышение Тр-hs как фактор риска общей смертности в популяции у пациентов без сердечно-сосудистых заболеваний [18, 21, 22]. В отношении пациентов с COVID-19 этиологические причины повышения уровня Тр-hs также неоднозначны. В исследовании T. Aikawa et al., проведенном на основании метаанализа с участием 1231 пациентов, показало, что повышенный уровень Тр-hs достоверно связан с высокой госпитальной летальностью (p <0,001) [23]. Повышение уровня тропонина авторы объясняют повреждением миокарда на фоне острой инфекции и системной воспалительной реакции. Однозначных указаний на переносимый инфаркт миокарда в данном исследовании нет. В исследовании R. Larcher et al. показано, что высокий уровень Тр-hs связан с внутрибольничной смертностью у пациентов с тяжелым течением COVID-19, однако его динамика в сочетании с отсутствием нарушений локальной сократимости миокарда при ЭхоКГ, исключали некроз миокарда [24]. Повышение уровня Тр-hs авторы объясняют наличием сердечно-сосудистых заболеваний, развитием миокардита с сохраненной систолической функцией левого желудочка, тромбоэмболическими осложнениями, сепсисом.
В нашем исследовании показано, что наиболее высокий уровень Тр-hs с высокой степенью достоверности связан именно с развитием инфаркта миокарда. Однако этиологические факторы повышения уровня тропонина при COVID-19 не носят однозначного характера. Ряд авторов указывает на большую вероятность развития воспалительной реакции в миокарде с исходом в миокардит как причины повышения уровня Тр-hs [8, 15, 25]. Отметим, что в нашем исследовании диагноз «миокардит» по результатам аутопсии не фигурировал. На ограниченное число данных о развитии миокардита у данной категории ссылаются также M. Imazio et al. и M. Zaninotto et al. [13, 26]. В то же время имеются работы с указанием высокого риска развития острых ишемических событий в результате нестабильности атерогенной бляшки [27].
Однако, несмотря на споры об этиологическимх факторах повышения уровня Тр-hs, подавляющее большинство авторов склоняются к мнению необходимости введения данного биологического маркера в рутинную практику с целью стратификации факторов риска и прогнозирования неблагопрятного исхода [1, 8, 9, 14–16, 27, 28].
ВЫВОДЫ
- Уровень Тр-hs в сыворотке крови является значимым предиктором госпитальной летальности и выживаемости.
- Величина Тр-hs не зависит от степени дыхательной недостаточности по SpO2 и данным КТ легких.
- Самый высокий уровень Тр-hs наблюдался у пациентов с инфарктом миокарда.
- Определение Тр-hs следует рекомендовать для применения в рутинной практике стационарных пациентов с COVID-19.
ДОПОЛНИТЕЛЬНАЯ ИНФОРМАЦИЯ / ADDITIONAL INFORMATION
Источник финансирования. Авторы заявляют об отсутствии внешнего финансирования при проведении исследования.
Funding source. This study was not supported by any external sources of funding.
Конфликт интересов. Авторы декларируют отсутствие явных и потенциальных конфликтов интересов, связанных с публикацией настоящей статьи.
Competing interests. The authors declare that they have no competing interests.
Вклад авторов. Все авторы внесли существенный вклад в разработку концепции, проведение исследования и подготовку статьи, прочли и одобрили финальную версию перед публикацией.
Author’s contribution. All authors made a substantial contribution to the conception of the work, acquisition, analysis, interpretation of data for the work, drafting and revising the work, final approval of the version to be published and agree to be accountable for all aspects of the work.
About the authors
Irina V. Kovtyukh
Petrovsky National Research Centre of Surgery
Author for correspondence.
Email: ivkovtuh@mail.ru
ORCID iD: 0000-0002-9176-1889
Russian Federation, 2, Abrikosovsky lane, GSP-1, Moscow, 119991
Gennady E. Gendlin
N.I. Pirogov Russian National Research Medical University
Email: rgmugt2@mail.ru
ORCID iD: 0000-0002-7846-1611
MD, Dr. Sci.(Med.), Professor
Russian Federation, MoscowIgor G. Nikitin
N.I. Pirogov Russian National Research Medical University
Email: igor.nikitin.64@mail.ru
ORCID iD: 0000-0003-1699-0881
MD, Dr. Sci.(Med.), Professor
Russian Federation, MoscowAleksey E. Nikitin
Petrovsky National Research Centre of Surgery
Email: glavvrach@ckb.ru
ORCID iD: 0000-0001-5414-0250
MD, Dr. Sci. (Med.), Professor
Russian Federation, 2, Abrikosovsky lane, GSP-1, Moscow, 119991Natalya L. Aleshenko
Petrovsky National Research Centre of Surgery
Email: nl.aleshenko@gmail.com
ORCID iD: 0000-0003-4891-9959
Russian Federation, 2, Abrikosovsky lane, GSP-1, Moscow, 119991
Olga A. Roginko
Petrovsky National Research Centre of Surgery
Email: 3115028@mail.ru
ORCID iD: 0000-0002-7356-7273
Russian Federation, 2, Abrikosovsky lane, GSP-1, Moscow, 119991
References
- Lippi G, Wong J, Henry BM. Hypertension in patients with coronavirus disease 2019 (COVID-19): a pooled analysis. Pol Arch Intern Med. 2020;130(4):304–309. doi: 10.20452/pamw.15272
- Porcheddu R, Serra C, Kelvin D, et al. Similarity in Case Fatality Rates (CFR) of COVID-19/SARS-COV-2 in Italy and China. J Infect Dev Ctries. 2020;14(2):125–128. doi: 10.3855/jidc.12600
- Palaiodimos L, Kokkinidis DG, Li W, et al. Severe obesity, increasing age and male sex are independently associated with worse in-hospital outcomes, and higher in-hospital mortality, in a cohort of patients with COVID-19 in the Bronx, New York. Metabolism. 2020;108:154262. doi: 10.1016/j.metabol.2020.154262
- Zhang L, Yan X, Fan Q, et al. D-dimer levels on admission to predict in-hospital mortality in patients with Covid-19. J Thromb Haemost. 2020;18(6):1324–1329. doi: 10.1111/jth.14859
- Pranata R, Huang I, Lukito AA, Raharjo SB. Elevated N-terminal pro-brain natriuretic peptide is associated with increased mortality in patients with COVID-19: systematic review and meta-analysis. Postgrad Med J. 2020;96(1137):387–391. doi: 10.1136/postgradmedj-2020-137884
- Han H, Xie L, Liu R, et al. Analysis of heart injury laboratory parameters in 273 COVID-19 patients in one hospital in Wuhan, China. J Med Virol. 2020;92(7):819–823. doi: 10.1002/jmv.25809
- Lippi G, Lavie CJ, Sanchis-Gomar F. Cardiac troponin I in patients with coronavirus disease 2019 (COVID-19): Evidence from a meta-analysis. Prog Cardiovasc Dis. 2020;63(3):390–391. doi: 10.1016/j.pcad.2020.03.001
- Gaze DC. Clinical utility of cardiac troponin measurement in COVID-19 infection. Ann Clin Biochem. 2020;57(3):202–205. doi: 10.1177/0004563220921888
- Azevedo RB, Botelho BG, Hollanda JVG, et al. Covid-19 and the cardiovascular system: a comprehensive review. J Hum Hypertens. 2021;35(1):4–11. doi: 10.1038/s41371-020-0387-4
- Guzik TJ, Mohiddin SA, Dimarco A, et al. COVID-19 and the cardiovascular system: implications for risk assessment, diagnosis, and treatment options. Cardiovasc Res. 2020;116(10):1666–1687. doi: 10.1093/cvr/cvaa106
- Chapman AR, Bularga A, Mills NL. High-Sensitivity Cardiac Troponin Can Be an Ally in the Fight Against COVID-19. Circulation. 2020;141(22):1733–1735. doi: 10.1161/CIRCULATIONAHA.120.047008
- Piccioni A, Brigida M, Loria V, et al. Role of troponin in COVID-19 pandemic: a review of literature. Eur Rev Med Pharmacol Sci. 2020;24(19):10293–10300. doi: 10.26355/eurrev_202010_23254
- Imazio M, Klingel K, Kindermann I, et al. COVID-19 pandemic and troponin: indirect myocardial injury, myocardial inflammation or myocarditis? Heart. 2020;106(15):1127–1131. doi: 10.1136/heartjnl-2020-317186
- Nascimento JHP, Gomes BFO, Oliveira GMM. Cardiac Troponin as a Predictor of Myocardial Injury and Mortality from COVID-19. Arq Bras Cardiol. 2020;115(4):667–668. doi: 10.36660/abc.20200862
- Ozieranski K, Tyminska A, Jonik S, et al. Clinically Suspected Myocarditis in the Course of Severe Acute Respiratory Syndrome Novel Coronavirus-2 Infection: Fact or Fiction? J Card Fail. 2021;27(1):92–96. doi: 10.1016/j.cardfail.2020.11.002
- Velavan TP, Meyer CG. Mild versus severe COVID-19: Laboratory markers. Int J Infect Dis. 2020;95:304–307. doi: 10.1016/j.ijid.2020.04.061
- Zheng Z, Peng F, Xu B, et al. Risk factors of critical & mortal COVID-19 cases: A systematic literature review and meta-analysis. J Infect. 2020;81(2):e16–e25. doi: 10.1016/j.jinf.2020.04.021
- Lippi G, Cervellin G, Sanchis-Gomar F. Predicting mortality with cardiac troponins: recent insights from meta-analyses. Diagnosis (Berl). 2021;8(1):37–49. doi: 10.1515/dx-2019-0061
- Masri W, Le Guillou E, Hamdi E, et al. Troponin elevation in other conditions than acute coronary syndromes. Ann Biol Clin (Paris). 2017;75(4):411–419. doi: 10.1684/abc.2017.1262
- Markou N, Gregorakos L, Myrianthefs P. Increased blood troponin levels in ICU patients. Curr Opin Crit Care. 2011;17(5):454–463. doi: 10.1097/MCC.0b013e3283491f0d
- Eggers KM, Jernberg T, Lindahl B. Cardiac Troponin Elevation in Patients Without a Specific Diagnosis. J Am Coll Cardiol. 2019;73(1):1–9. doi: 10.1016/j.jacc.2018.09.082
- Fan Y, Zhao X, Li X, et al. Cardiac troponin and adverse outcomes in atrial fibrillation: A meta-analysis. Clin Chim Acta. 2018;477:48–52. doi: 10.1016/j.cca.2017.11.040
- Aikawa T, Takagi H, Ishikawa K, Kuno T. Myocardial injury characterized by elevated cardiac troponin and in-hospital mortality of COVID-19: An insight from a meta-analysis. J Med Virol. 2021;93(1):51–55. doi: 10.1002/jmv.26108
- Larcher R, Besnard N, Akouz A, et al. Admission High-Sensitive Cardiac Troponin T Level Increase Is Independently Associated with Higher Mortality in Critically Ill Patients with COVID-19: A Multicenter Study. J Clin Med. 2021;10(8):1656. doi: 10.3390/jcm10081656
- Sandoval Y, Januzzi JL, Jr., Jaffe AS. Cardiac Troponin for Assessment of Myocardial Injury in COVID-19: JACC Review Topic of the Week. J Am Coll Cardiol. 2020;76(10):1244–1258. doi: 10.1016/j.jacc.2020.06.068
- Zaninotto M, Mion MM, Padoan A, et al. Cardiac troponin I in SARS-CoV-2-patients: The additional prognostic value of serial monitoring. Clin Chim Acta. 2020;511:75–80. doi: 10.1016/j.cca.2020.09.036
- Al Abbasi B, Torres P, Ramos-Tuarez F, et al. Cardiac Troponin-I and COVID-19: A Prognostic Tool for In-Hospital Mortality. Cardiol Res. 2020;11(6):398–404. doi: 10.14740/cr1159
- Li C, Jiang J, Wang F, et al. Longitudinal correlation of biomarkers of cardiac injury, inflammation, and coagulation to outcome in hospitalized COVID-19 patients. J Mol Cell Cardiol. 2020;147:74–87. doi: 10.1016/j.yjmcc.2020.08.008
Supplementary files





